Rumus Keliling Lingkaran: Pada kesempatan kali ini ppkn.net akan memberikan ulasan mengenai Rumus Keliling Lingkaran, yuk simak dibawah ini:
Rumus Keliling Lingkaran
Lingkaran adalah bidang dua dimensi yang dibentuk oleh kumpulan semua titik dengan jarak yang sama dari titik tetap.
- Pusat (P): Titik tetap pada lingkaran disebut pusat.
- Radius (r): Jarak dari titik lain ke pusat lingkaran disebut jari-jari lingkaran.
- Kurva: Kumpulan dari semua titik lingkaran kemudian membentuk kurva yang menjadi keliling lingkaran.
- Diameter (d): Garis yang ditarik dari dua titik pada kurva dan melewati pusat disebut diameter (d). Panjang diameter lingkaran adalah 2 × r.
- phi (π): Perbedaan antar keliling serta diameter lingkaran tetap konstan, yakni 3.14159 (ditetapkan menjadi 3.14) ataupun 22/7. Jumlah ini didapat dari keliiling ÷ diameter = phi.
Rumus luas, jari-jari, diameter dan keliling lingkaran
Catatan: Untuk memudahkan penggunaan nilai phi (π) dalam perhitungan manual, gunakan nilai 22/7 sebagai jari-jari kelipatan 7, dan nilai 3,14 sebagai jari-jari kelipatan 7.
Contoh 1: Gunakan rumus untuk keliling dan diameter lingkaran
Hitung keliling sebuah lingkaran dengan diameter 14 cm!
Yang diketahui:
d = 14 cm
Ditanya:
Keliling lingkaran!
Penyelesaian:
Oleh karena itu, keliling lingkaran tersebut adalah 44 cm.
Contoh 2: Gunakan rumus keliling lingkaran dengan jari-jari
Hitung keliling lingkaran dengan jari-jari 3 cm!
Yang diketahui:
r = 3 cm
Ditanya:
Keliling lingkaran!
Penyelesaian:
Dengan demikian, keliling lingkaran tersebut adalah 18,84 cm.
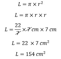
Contoh 3: Gunakan rumus luas lingkaran dengan jari-jari
Hitung luas lingkaran dengan jari-jari 7 cm!
Yang diketahui:
r = 7 cm
Ditanya:
Lingkari area tersebut!
Penyelesaian:
Oleh karena itu, luas lingkaran tersebut adalah 154 sentimeter persegi.
Contoh 4: Gunakan rumus untuk menghitung luas lingkaran dan diameter
Hitung luas lingkaran dengan diameter 8 cm!
Yang diketahui:
d = 8 cm
Ditanya:
Lingkari area tersebut!
Penyelesaian:
Karena rumus luas lingkaran menggunakan jari-jari (r), kita bisa mendapatkan
r = d ÷ 2
r = 8 cm ÷ 2 = 4 cm
Kemudian lanjutkan menghitung luas lingkaran,
Oleh karena itu, luas lingkaran tersebut adalah 50,24 sentimeter persegi.
Contoh 5: Jika Anda mengetahui kelilingnya, gunakan rumus jari-jari lingkaran untuk mencari diameternya
Hitung jari-jari dan diameter lingkaran dengan keliling 314 cm!
Yang diketahui:
Kg = 314 cm
Ditanya:
Jari-jari dan diameter lingkaran!
Penyelesaian:
- Temukan jari-jari lingkaran (r)
- Temukan diameter lingkaran (s)
Karena nilai r = 50 cm maka d = 2 × 50 cm = 100 cm
Oleh karena itu, jari-jari lingkarannya adalah 50 cm.
Oleh karena itu diameter lingkaran tersebut adalah 100 cm.
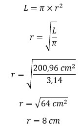
Contoh 6: Jika Anda mengetahui luasnya, bagaimana menggunakan jari-jari lingkaran untuk mencari diameternya
Hitung jari-jari dan diameter lingkaran dengan luas 200,96 sentimeter persegi!
Yang diketahui:
L = 200,96 sentimeter persegi
Ditanya:
Jari-jari dan diameter lingkaran!
Penyelesaian:
- Temukan jari-jari lingkaran (r)
- Temukan diameter lingkaran (s)
Karena nilai r = 8 cm, maka d = 2 × 8 cm = 16 cm
Jadi jari-jari lingkarannya adalah 8 cm.
Oleh karena itu diameter lingkarannya adalah 16 cm.
Baca Juga:
- Contoh Karya Ilmiah
- Cerita Fantasi
- Lambang Pancasila
- Bentuk Negara Indonesia
- Kerjasama Ekonomi Internasional
Demikianlah ulasan dari ppkn.net mengenai Rumus Keliling Lingkaran, semoga bisa bermanfaat.
