Rumus Trigonometri : Pada kesempatan kali ini ppkn.net akan memberikan ulasan mengenai Rumus Trigonometri, yuk simak dibawah ini:
Rumus Trigonometri
Pembahasan dan penjelasan tentang trigonometri matematika adalah rumus-rumus matematika yang Kegunaan sudut Trigonometri dan fungsi trigonometri untuk saling mengolah.
Sedangkan untuk rumus trigonometri sendiri sebenarnya hampir sama dengan rumus geometri matematis, karena keduanya saling berkaitan.
Bisa dikatakan Trigonometri merupakan bagian dari geometri.Oleh karena itu, jika anda sebagai siswa sudah Pengertian Trigonometri matematis, anda akan tidak kesulitan Pengertian geometri. begitu juga sebaliknya.
Pengertian trigonometri
Trigonometri berasal dari bahasa Yunani “trigonon” dan “metron”, yang merupakan cabang matematika yang mempelajari hubungan antara panjang dan sudut Trigonometri.
Fungsi trigonometri memiliki pengenal yang mewakili suatu hubungan, dan hubungan tersebut dapat menyertakan fungsi trigonometri yang terkait satu sama lain.
Matematikawan biasanya Kegunaan trigonometri untuk Pengertian fenomena lingkaran melalui banyak penerapannya di berbagai bidang seperti fisika, teknik mesin, biologi, dan astronomi.
Kegunaan
Ada banyak aplikasi triangulasi. Ini terutama digunakan dalam astronomi untuk menghitung jarak ke bintang terdekat, dalam geografi untuk menghitung teknologi triangulasi antara titik-titik tertentu dan teknologi triangulasi yang digunakan dalam sistem navigasi satelit.
Area lain di mana trigonometri digunakan termasuk astronomi (termasuk navigasi di laut, udara dan luar angkasa), teori musik, akustik, optik, analisa pasar keuangan, elektronik.
Teori probabilitas, statistik, biologi, pencitraaan medis (CAT scan serta ultrasound)), farmasi , kimia, teori bilangan (termasuk kriptografi), seismologi, meteorologi, oseanografi, berbagai cabang fisika.
Survei tanah serta geodesi, arsitektur, fonetik, ekonomi, teknik elektro, teknik mesin, teknik sipil, grafik komputer, kartografi, kristalografi.
Perkembangan modern trigonometri melibatkan “pelebaran” dan “empat derajat”, bukan sudut dan panjang.
Metode baru ini disebut trigonometri rasional, dan ini adalah hasil kerja Dr. Norman Wildberg dari Universitas New South Wales. Informasi lebih lanjut dapat ditemukan di situs web.
Rumus-Rumus Trigonometri
Konsep trigonometri merupakan konsep penting dalam Trigonometri. Nilai trigonometri didasarkan pada rasio sisi-sisi Trigonometri siku-siku.
Ada enam nilai rasio trigonometri, yaitu sinus (sin), cosinus (cos), tangen (tan), secant (cosec), secant (sec), dan cotangent (cot).
Keenam nilai fungsi trigonometri dapat ditentukan dengan membandingkan panjang sisinya dengan aturan tertentu.
Trigonometri memiliki berbagai kegunaan, yang melibatkan astronomi, geografi, teori musik, akustik, analisis pasar keuangan optik, elektronik, teori probabilitas, statistik, biologi, pencitraan medis, farmasi, kimia, dll.
Kini saatnya kita Pengertian berbagai rumus trigonometri dalam pelajaran ini.
Menurut posisi sudut orientasinya, maka sisi-sisi Trigonometri (siku) dibedakan menjadi tiga jenis, yaitu sisi depan, sisi samping, dan sisi miring.
Sisi depan adalah sisi yang menghadap ke sudut. Sisi ada di pojok. Sisi miring selalu di depan sudut 90o.
Nah, tiga fungsi trigonometri utama adalah fungsi sin, cos dan tan. Pengertian tiga fungsi berdasarkan sisi dan sudut Trigonometri siku-siku dapat dilihat pada gambar dan persamaan di bawah ini.
Nah, khusus untuk sudut khusus, nilai trigonometrinya adalah sebagai berikut:
Perbandingan Trigonometri sudut terkait
Rasio Trigonometri dari sudut yang relevan adalah perluasan nilai pemicu dasar, yang ditentukan oleh sudut Trigonometri siku-siku.
Sudut Trigonometri siku-siku hanya berada di kuadran I, karena merupakan sudut lancip 0 ° -90 °.
Sudut pusat lingkaran adalah antara 0 ° dan 360 °. Sudut dibagi menjadi 4 kuadran, dan jarak tiap kuadran adalah 90 °.
- Sudut kuadran 1 adalah antara 0 ° dan 90 °. Semua nilai rasio trigonometri di kuadran ini adalah positif.
- Sudut kuadran 2 berada diantara 90 ° -180 °. Di kuadran ini, hanya nilai sinus dan kosekan yang positif.
- Sudut kuadran 3 yang disertakan adalah antara 180 ° -270 °. Di kuadran ini, hanya garis singgung dan kotangen yang positif.
- Sudut kuadran 4 berada di antara 270 ° -360 °. Di kuadran ini, hanya cosinus dan garis potongnya yang positif.
Identitas Trigonometri
Teorema Pythagoras, yaitu a2 + b2 = c2 adalah dasar penyusunan identitas trigonometri. Identitas trigonometri mengungkapkan hubungan antara fungsi trigonometri dan fungsi trigonometri lainnya.
Jumlah dari sinus kuadrat dan cosinus kuadrat sama dengan 1. Jika kedua sisi dibagi dengan cosinus kuadrat, maka satu kuadrat plus tangen sama dengan kuadrat garis potong.
Demikian pula, jika kedua sisi dibagi dengan kuadrat sinus, kita bisa mendapatkan kuadrat yang ditambah kuadrat garis singgung sama dengan kuadrat kosekan.
Inilah rumus identitas:
Berbagai rumus lainnya
Anda juga harus mengetahui rumus lain:
Rumus penjumlahan dan perbedaan sudut:
Rumus perkalian Trigonometri:
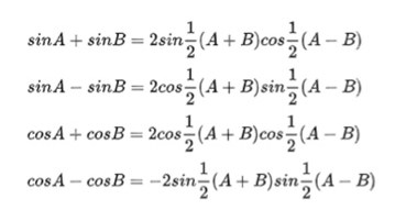
Rumus penjumlahan Trigonometri:
Contoh masalah pemicu
Tentukan nilai dari 2 cos 75 ° cos 15 °:
Solusi:
Berdasarkan keterangan pada soal tersebut, kita dapat melihat bahwa soal di atas termasuk perkalian trigonometri. Gunakan rumus perkalian untuk cos di atas, yaitu 2 cos A cos B = cos (A + B) + cos (A-B).
Jawaban:
2 cos 75 ° cos 15 ° = cos (75 +15) ° + cos (75-15) °
= cos 90 ° + cos 60 °
= 0 + ½
= ½
Baca Juga:
- Kerajinan Bahan Keras
- Makna Sumpah Pemuda
- Cara Menulis Daftar Pustaka
- Pengertian Filsafat Pancasila : Fungsi, Tujuan, Contoh
- Tugas Utama Pemerintah
Demikianlah ulasan dari ppkn.net mengenai Rumus Trigonometri, semoga bisa bermanfaat.
